Introduction
In chemical and process industries, process control is the backbone of safe, stable, and efficient operations. Whether it is regulating the temperature of a reactor, maintaining pressure in a distillation column, or controlling flow through a pipeline, engineers rely on control systems to keep processes within desired limits.
Among various control strategies, the PID controller (Proportional–Integral–Derivative) is the most widely used. PID controllers form the basis of automatic control in industries due to their simplicity, robustness, and effectiveness across a wide range of processes.
This article provides a comprehensive guide on how PID controllers function, the basics of tuning methods, and real-life examples from chemical engineering applications.
What is a PID Controller?
A PID controller is a feedback control device that continuously calculates an error value, defined as the difference between a desired setpoint (SP) and a measured process variable (PV). It applies corrections by adjusting the control variable (CV) to minimize the error.
The control action consists of three terms: Proportional (P), Integral (I), and Derivative (D).
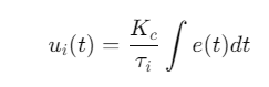
The general PID control law is given by:

Components of PID Control
1. Proportional Control (P)
- Responds to the present error. Too low, and response is sluggish; too high, it becomes unstable.
- Output is directly proportional to the error.
- Action:

- Effect: Reduces error magnitude but cannot eliminate it completely (steady-state offset may exist).
- Too high Kc → oscillations or instability.
2. Integral Control (I)
- Corrects accumulated past errors by integrating the error over time.
- Action:

- Effect: Eliminates steady-state offset.
- Too aggressive integral action → induce sluggishness, oscillations and slow recovery.
3. Derivative Control (D)
- Predicts future error by calculating the rate of change and damping oscillations.
- Action:

- Effect: Improves stability and reduces overshoot.
- Excessive derivative gain can amplify noise.

Modes of PID Controllers
Depending on industrial practice, controllers may operate in:
- P-only mode (simple, fast, but leaves offset).
- PI mode (most common in industry – balances offset removal and stability).
- PD mode (rare – useful in high-speed systems).
- PID mode (full control, applied in critical processes with significant dynamics).
Functioning of PID Controllers in Process Loops
- Input Measurement: Sensor measures PV (e.g., temperature, pressure, flow).
- Error Calculation: Controller calculates error = SP – PV.
- Control Action: PID algorithm computes output.
- Actuation: Control valve or actuator adjusts flow, heating, or pressure.
- Feedback: Process responds, loop repeats.
PID Tuning: Finding the Right Parameters
The effectiveness of a PID controller depends on proper tuning of Kc , τi, and τd. Poor tuning can cause oscillations, sluggish response, or instability.
Common Tuning Methods
1. Manual Tuning
- Increase proportional gain until oscillations appear.
- Adjust integral to eliminate offset.
- Add derivative to reduce oscillations.t.
2. Ziegler–Nichols Method
- Open-Loop (Step Response) Method: Apply a step input, measure system’s response curve, and compute PID parameters using set formulas.
- Closed-Loop (Ultimate Gain) Method: Increase Kp until sustained oscillations occur (ultimate gain), note the oscillation period, and determine Kp, Ti and Td by Ziegler–Nichols tables.
The Ziegler-Nichols tuning process is a widely used, empirical method for tuning PID controllers in both industrial and academic settings. It provides a systematic procedure to find suitable controller settings for proportional, integral, and derivative gains based on the inherent dynamics of a system.
Ziegler-Nichols tuning process: Step-by-Step Closed-Loop (Ultimate Gain) Method
- Initial Setup:
- Set the Integral (I) and Derivative (D) gains to zero in your controller.
- Set a low Proportional (P) gain to begin the test.
- Increase Proportional Gain:
- Gradually increase the P gain until the system’s output just begins to oscillate with a constant amplitude—these are called sustained oscillations.
- At this point, the gain is called the “ultimate gain,” denoted as Ku.
- Measure Oscillation Period:
- Measure the oscillation period, which is the time (in seconds or minutes) it takes to complete one full cycle of oscillation.
- This is referred to as the “ultimate period,” denoted as Pu or sometimes Tu.
- Calculate PID Constants:
- Use the following Ziegler-Nichols formulas to calculate controller settings:

- If your controller uses integral and derivative gains instead of times, convert as appropriate.
- Implement and Tune:
- Enter the computed PID values into your controller.
- Observe the system’s response and make small adjustments if necessary for optimal performance.
Ziegler-Nichols tuning process: The Open-Loop (Process Reaction) Method
While much less common than the closed-loop method, the open-loop method (Process Reaction method) uses the response to a step input to derive system parameters (delay time and time constant). These values are then plugged into the Ziegler-Nichols chart formulas to provide controller settings.
Advantages and Limitations
- Advantages:
- Quick and easy starting point for PID settings.
- Useful for processes where traditional modeling is difficult or time-consuming.
- Limitations:
- Can lead to aggressive tuning (oscillatory response with overshoot).
- Works best for first-order, linear systems and may require additional fine-tuning for complex or nonlinear processes.
The Ziegler-Nichols method provides a practical and widely adopted approach to tuning PID controllers by observing the response of the actual process, leading to robust and responsive control in many industrial applications.
3. Cohen–Coon Method
- Better suited for first-order processes with delay.
- Provides more balanced control than Z-N.
4. Software/Autotuning
- Modern DCS and PLC systems have autotuning algorithms that apply test signals and compute optimal parameters.
- Yokogawa VPtune
- For example Yokogawa VPtune refers to a PID tuning and optimization solution integrated with Yokogawa’s distributed control systems, notably the CS3000 and CentumVP series.
- It simplifies PID controller performance improvement through advanced modeling and tuning techniques. Yokogawa controllers support multiple PID calculation algorithms, including basic PID and variants such as I-PD and PI-D. The default is an “Automatic Determination 2” algorithm that optimizes for smooth control response and stability.
- Users can simulate controller response with new tuning parameters before implementation, facilitating side-by-side comparison with existing settings. Detailed reports document modeling data, tuning rationale, and expected performance improvements.
Real-Life Examples of PID Controllers in Industry
1. Distillation Column Temperature Control
- PV: Bottom product temperature.
- SP: Desired composition (inferred via temperature).
- CV: Reboiler heat duty (steam flow).
- Action: PI or PID ensures steady product purity.
2. Reactor Pressure Control
- PV: Reactor pressure.
- SP: Operating setpoint (e.g., 10 bar).
- CV: Vent valve position.
- Action: PID maintains stable pressure despite disturbances.
3. Heat Exchanger Outlet Temperature
- PV: Outlet temperature of process fluid.
- SP: Target temperature.
- CV: Cooling water flow via control valve.
- Action: PI controller adjusts flow to achieve setpoint.
4. Flow Control in Pipelines
- PV: Flow rate measured by flowmeter.
- SP: Desired flow.
- CV: Valve position.
- Action: Fast-acting P or PI controllers used.
5. Level Control in Tanks
- PV: Liquid level in tank.
- SP: Desired level.
- CV: Outlet valve opening.
- Action: Integral control prevents steady-state offset.
6. pH Control
- PV: pH of solution.
- SP: Neutral or desired pH.
- CV: Dosing of acid/base.
- Action: Nonlinear; requires careful PID tuning.
Enhancements Beyond Basic PID
- Cascade Control: One controller sets the setpoint of another (e.g., temperature loop with flow as inner loop).
- Feedforward Control: Compensates for measurable disturbances before they affect PV.
- Adaptive PID: Parameters adjusted in real-time based on process conditions.
- Model Predictive Control (MPC): Advanced alternative when PID struggles.
Best Practices in PID Controller Implementation
- Start with PI: Most processes can be controlled effectively with PI.
- Tune Gradually: Avoid aggressive tuning.
- Use Derivative Sparingly: Only for fast processes where noise is minimal.
- Consider Process Dynamics: Dead time and inertia dictate tuning strategy.
- Validate with Step Tests: Always test controller response before plant-wide implementation.
The PID controller remains the workhorse of process control in chemical engineering. Its simple yet powerful formulation allows engineers to manage diverse processes—from flow and level to temperature and pressure—with remarkable efficiency.